Официальное опубликование правовых актов
ОФИЦИАЛЬНОЕ ОПУБЛИКОВАНИЕ
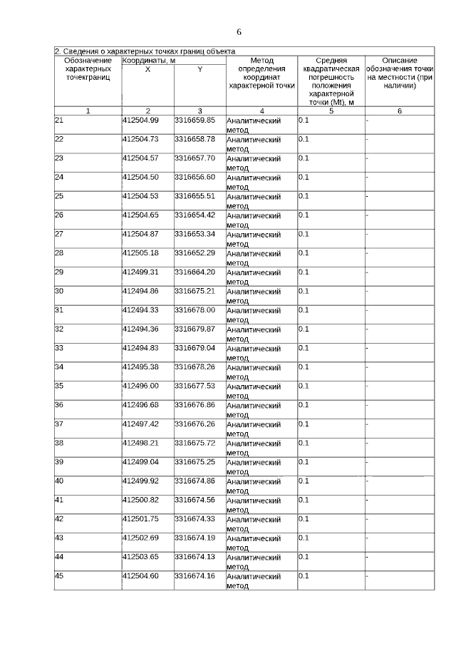
Постановление Департамента имущественных и земельных отношений Курганской области от 15.06.2023 № 16-п
"Об установлении публичного сервитута"
(Зарегистрирован 15.06.2023 № 2305016)
Номер опубликования: 4501202306200003
Дата опубликования: 20.06.2023
Страница №6 из 30:
Увеличить