Официальное опубликование правовых актов
ОФИЦИАЛЬНОЕ ОПУБЛИКОВАНИЕ
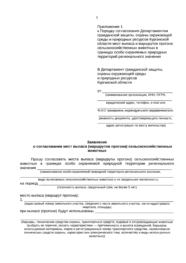
Приказ Департамента гражданской защиты, охраны окружающей среды и природных ресурсов Курганской области от 18.04.2023 № 95
"Об утверждении порядка согласования Департаментом гражданской защиты, охраны окружающей среды и природных ресурсов Курганской области мест выпаса и маршрутов прогона сельскохозяйственных животных в границах особо охраняемых природных территорий регионального значения"
Номер опубликования: 4501202304190001
Дата опубликования: 19.04.2023
Страница №5 из 7:
Увеличить