Официальное опубликование правовых актов
ОФИЦИАЛЬНОЕ ОПУБЛИКОВАНИЕ
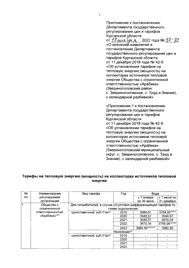
Постановление Департамента государственного регулирования цен и тарифов Курганской области от 17.11.2022 № 52-82
"О внесении изменений в постановление Департамента государственного регулирования цен и тарифов Курганской области от 11 декабря 2018 года № 42-9 "Об установлении тарифов на тепловую энергию (мощность) на коллекторах источников тепловой энергии Общества с ограниченной ответственностью "Арабика" (Звериноголовский район: с. Звериноголовское, с. Труд и Знание), с календарной разбивкой"
Номер опубликования: 4501202211210087
Дата опубликования: 21.11.2022
Страница №3 из 4:
Увеличить