Официальное опубликование правовых актов
ОФИЦИАЛЬНОЕ ОПУБЛИКОВАНИЕ
Постановление Департамента государственного регулирования цен и тарифов Курганской области от 17.11.2022 № 52-17
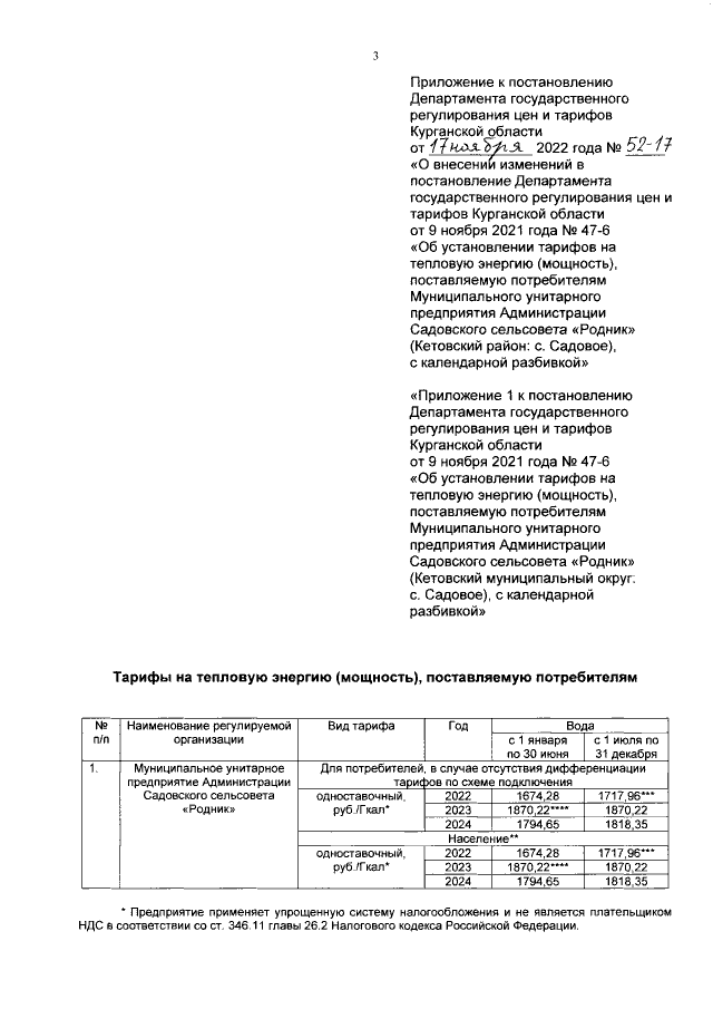
"О внесении изменений в постановление Департамента государственного регулирования цен и тарифов Курганской области от 9 ноября 2021 года № 47-6 "Об установлении тарифов на тепловую энергию (мощность), поставляемую потребителям Муниципального унитарного предприятия Администрации Садовского сельсовета "Родник" (Кетовский район: с. Садовое), с календарной разбивкой"
Номер опубликования: 4501202211210082
Дата опубликования: 21.11.2022
Страница №3 из 4:
Увеличить