Официальное опубликование правовых актов
ОФИЦИАЛЬНОЕ ОПУБЛИКОВАНИЕ
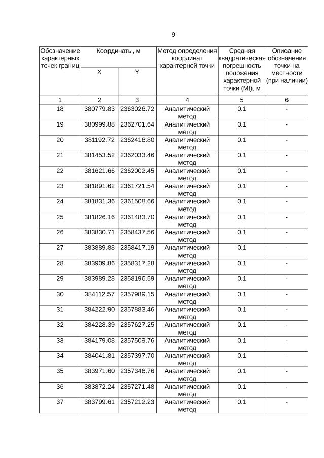
Постановление Департамента имущественных и земельных отношений Курганской области от 16.11.2022 № 96-п
"Об установлении публичного сервитута"
Номер опубликования: 4501202211170001
Дата опубликования: 17.11.2022
Страница №9 из 59:
Увеличить