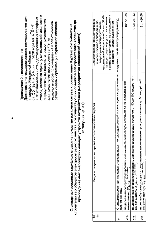
Постановление Департамента государственного регулирования цен и тарифов Курганской области от 25.12.2020 № 58-1
"Об установлении стандартизированных тарифных ставок, ставок за единицу максимальной мощности и формул платы за технологическое присоединение для применения при расчете платы за технологическое присоединение к электрическим сетям сетевых организаций Курганской области"
"Об установлении стандартизированных тарифных ставок, ставок за единицу максимальной мощности и формул платы за технологическое присоединение для применения при расчете платы за технологическое присоединение к электрическим сетям сетевых организаций Курганской области"
Номер опубликования: 4501202012280006
Дата опубликования:
28.12.2020
