Официальное опубликование правовых актов
ОФИЦИАЛЬНОЕ ОПУБЛИКОВАНИЕ
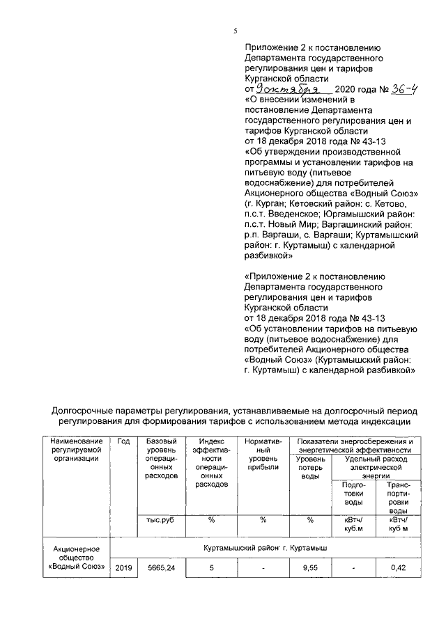
Постановление Департамента государственного регулирования цен и тарифов Курганской области от 09.10.2020 № 36-4
"О внесении изменений в постановление Департамента государственного регулирования цен и тарифов Курганской области от 18 декабря 2018 года № 43-13 "Об утверждении производственной программы и установлении тарифов на питьевую воду (питьевое водоснабжение) для потребителей Акционерного общества "Водный Союз" (г. Курган; Кетовский район: с. Кетово, п.с.т. Введенское; Юргамышский район: п.с.т. Новый Мир; Варгашинский район: р.п. Варгаши, с. Варгаши; Куртамышский район: г. Куртамыш) с календарной разбивкой"
Номер опубликования: 4501202010120001
Дата опубликования: 12.10.2020
Страница №5 из 6:
Увеличить