Официальное опубликование правовых актов
ОФИЦИАЛЬНОЕ ОПУБЛИКОВАНИЕ
Приказ Главного управления социальной защиты населения Курганской области от 22.05.2019 № 211
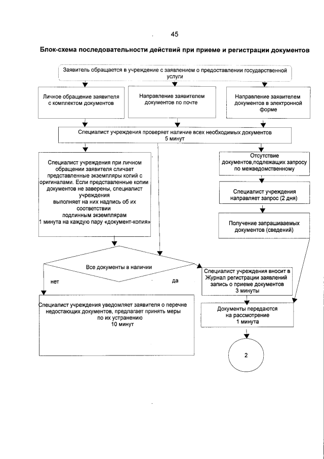
"Об утверждении Административного регламента предоставления государственных услуг по выплате государственного единовременного пособия и ежемесячной денежной компенсации гражданам при возникновении у них поствакцинальных осложнений"
Номер опубликования: 4501201905230010
Дата опубликования: 23.05.2019
Страница №45 из 47:
Увеличить