Официальное опубликование правовых актов
ОФИЦИАЛЬНОЕ ОПУБЛИКОВАНИЕ
Приказ Главного управления социальной защиты населения Курганской области от 22.05.2019 № 215
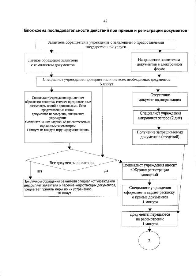
"Об утверждении Административного регламента предоставления государственной услуги по назначению ежемесячной компенсационной выплаты нетрудоустроенным женщинам, имеющим детей в возрасте до трех лет, уволенным в связи с ликвидацией организации"
Номер опубликования: 4501201905230005
Дата опубликования: 23.05.2019
Страница №42 из 49:
Увеличить