Официальное опубликование правовых актов
ОФИЦИАЛЬНОЕ ОПУБЛИКОВАНИЕ
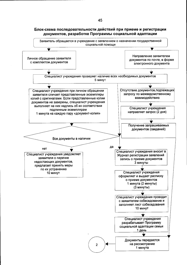
Приказ Главного управления социальной защиты населения Курганской области от 22.05.2019 № 216
"Об утверждении Административного регламента предоставления государственной услуги по предоставлению государственной социальной помощи на развитие личного подсобного хозяйства малоимущим семьям, воспитывающим пять и более несовершеннолетних детей"
Номер опубликования: 4501201905230004
Дата опубликования: 23.05.2019
Страница №45 из 52:
Увеличить