Официальное опубликование правовых актов
ОФИЦИАЛЬНОЕ ОПУБЛИКОВАНИЕ
Приказ Главного управления социальной защиты населения Курганской области от 22.05.2019 № 210
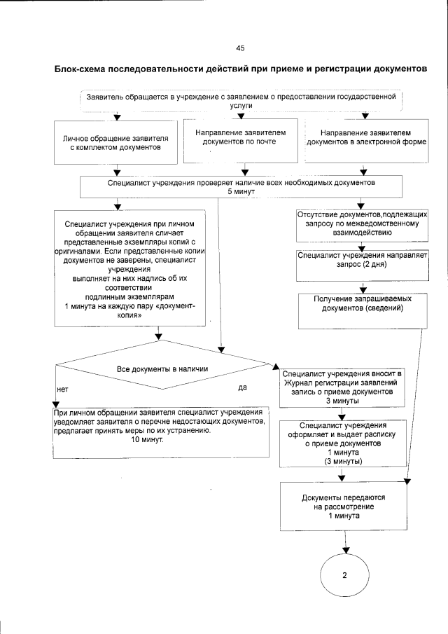
"Об утверждении Административного регламента предоставления государственной услуги по предоставлению единовременной выплаты малоимущим семьям и малоимущим одиноко проживающим гражданам, пострадавшим от пожара"
Номер опубликования: 4501201905230002
Дата опубликования: 23.05.2019
Страница №45 из 47:
Увеличить