Официальное опубликование правовых актов
ОФИЦИАЛЬНОЕ ОПУБЛИКОВАНИЕ
Приказ Главного управления социальной защиты населения Курганской области от 21.05.2019 № 208
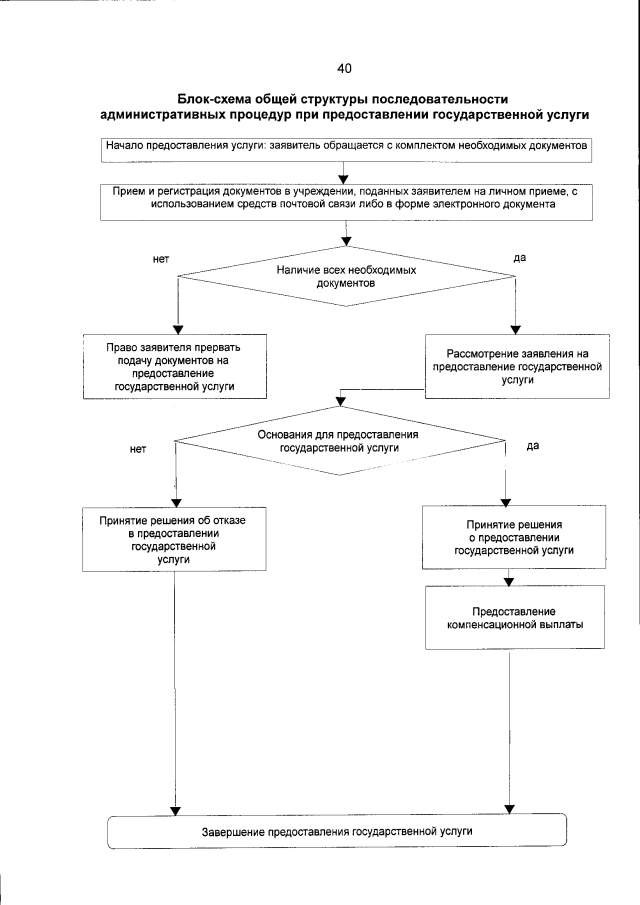
"Об утверждении Административного регламента предоставления государственной услуги по предоставлению ежегодной компенсационной выплаты за пользование радиотрансляционной точкой инвалидам по зрению 1 и 2 групп, проживающим на территории Курганской области"
Номер опубликования: 4501201905220003
Дата опубликования: 22.05.2019
Страница №40 из 47:
Увеличить