Официальное опубликование правовых актов
ОФИЦИАЛЬНОЕ ОПУБЛИКОВАНИЕ
Приказ Главного управления социальной защиты населения Курганской области от 05.04.2019 № 148
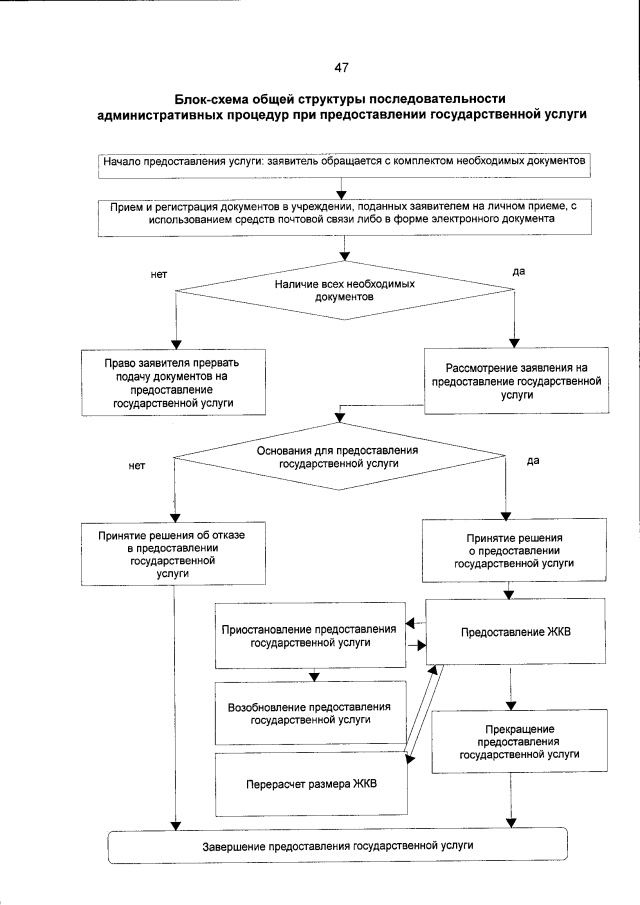
"Об утверждении Административного регламента предоставления государственной услуги по предоставлению жилищно-коммунальной выплаты отдельным категориям граждан в Курганской области"
Номер опубликования: 4501201904090003
Дата опубликования: 09.04.2019
Страница №47 из 67:
Увеличить