Официальное опубликование правовых актов
ОФИЦИАЛЬНОЕ ОПУБЛИКОВАНИЕ
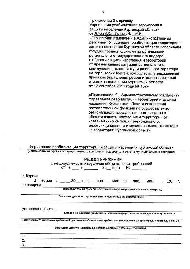
Приказ Управления реабилитации территорий и защиты населения Курганской области от 20.12.2018 № 169
"О внесении изменений в приказ Управления реабилитации территорий и защиты населения Курганской области от 13 сентября 2016 года № 152 "Об утверждении Административного регламента Управления реабилитации территорий и защиты населения Курганской области исполнения государственной функции по организации регионального государственного надзора в области защиты населения и территорий от чрезвычайных ситуаций регионального, межмуниципального и муниципального характера на территории Курганской области"
Номер опубликования: 4501201812210014
Дата опубликования: 21.12.2018
Страница №6 из 9:
Увеличить