Официальное опубликование правовых актов
ОФИЦИАЛЬНОЕ ОПУБЛИКОВАНИЕ
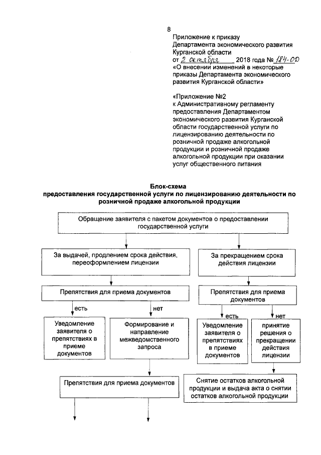
Приказ Департамента экономического развития Курганской области от 02.10.2018 № 184-ОД
"О внесении изменений в некоторые приказы Департамента экономического развития Курганской области"
Номер опубликования: 4501201810030002
Дата опубликования: 03.10.2018
Страница №8 из 9:
Увеличить