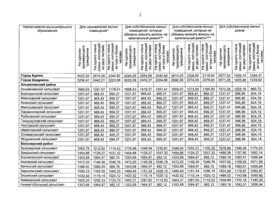
Постановление Департамента государственного регулирования цен и тарифов Курганской области от 26.06.2018 № 20-1
"О внесении изменений в постановление Департамента государственного регулирования цен и тарифов Курганской области от 12 декабря 2017 года № 44-1 "Об установлении размеров региональных стандартов стоимости жилищно-коммунальных услуг по муниципальным образованиям Курганской области на 2018 год"
"О внесении изменений в постановление Департамента государственного регулирования цен и тарифов Курганской области от 12 декабря 2017 года № 44-1 "Об установлении размеров региональных стандартов стоимости жилищно-коммунальных услуг по муниципальным образованиям Курганской области на 2018 год"
Номер опубликования: 4501201806270005
Дата опубликования:
27.06.2018
