Официальное опубликование правовых актов
ОФИЦИАЛЬНОЕ ОПУБЛИКОВАНИЕ
Приказ Главного управления социальной защиты населения Курганской области от 26.07.2017 № 402
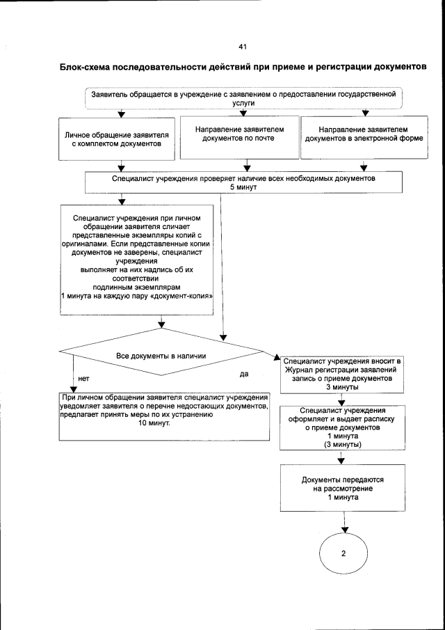
"Об утверждении Административного регламента предоставления государственной услуги по выдаче документа, подтверждающего, что семья является многодетной"
Номер опубликования: 4501201707270003
Дата опубликования: 27.07.2017
Страница №41 из 43:
Увеличить