Официальное опубликование правовых актов
ОФИЦИАЛЬНОЕ ОПУБЛИКОВАНИЕ
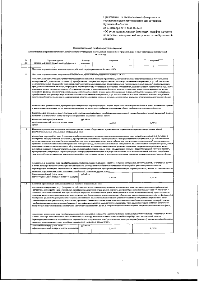
Постановление Департамента государственного регулирования цен и тарифов Курганской области от 23.12.2016 № 47-4
"Об установлении единых (котловых) тарифов на услуги по передаче электрической энергии по сетям Курганской области"
Номер опубликования: 4501201612270001
Дата опубликования: 27.12.2016
Страница №3 из 9:
Увеличить