Официальное опубликование правовых актов
ОФИЦИАЛЬНОЕ ОПУБЛИКОВАНИЕ
Распоряжение Государственной инспекции по надзору за техническим состоянием самоходных машин и других видов техники Курганской области от 21.12.2016 № 124-осн
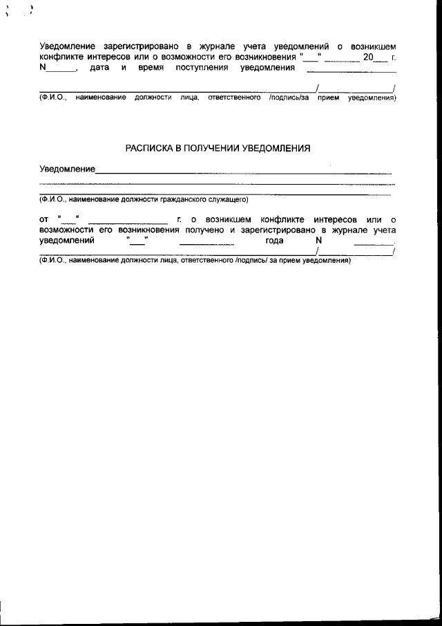
"Об утверждении положения об уведомлении представителя нанимателя о возникшем конфликте интересов или о возможности его возникновения"
Номер опубликования: 4501201612230001
Дата опубликования: 23.12.2016
Страница №6 из 7:
Увеличить