Официальное опубликование правовых актов
ОФИЦИАЛЬНОЕ ОПУБЛИКОВАНИЕ
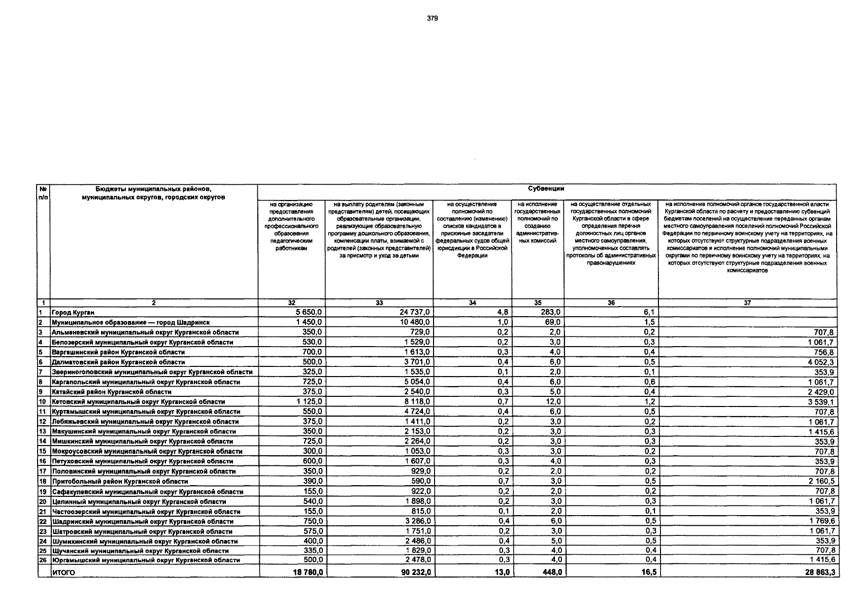
Закон Курганской области от 29.12.2023 № 66
"О внесении изменений в Закон Курганской области "Об областном бюджете на 2023 год и на плановый период 2024 и 2025 годов"
Номер опубликования: 4500202312290029
Дата опубликования: 29.12.2023
Страница №379 из 394:
Увеличить