Официальное опубликование правовых актов
ОФИЦИАЛЬНОЕ ОПУБЛИКОВАНИЕ
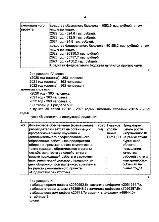
Постановление Правительства Курганской области от 21.06.2023 № 175
"О внесении изменений в постановление Правительства Курганской области от 26 августа 2014 года № 327"
Номер опубликования: 4500202306220003
Дата опубликования: 22.06.2023
Страница №4 из 17:
Увеличить