Официальное опубликование правовых актов
ОФИЦИАЛЬНОЕ ОПУБЛИКОВАНИЕ
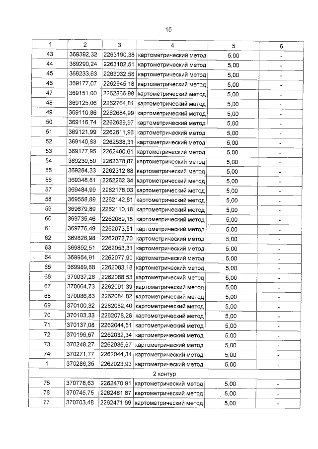
Постановление Губернатора Курганской области от 27.03.2023 № 25
"О создании охранных зон памятников природы регионального значения"
Номер опубликования: 4500202303300002
Дата опубликования: 30.03.2023
Страница №15 из 925:
Увеличить