Официальное опубликование правовых актов
ОФИЦИАЛЬНОЕ ОПУБЛИКОВАНИЕ
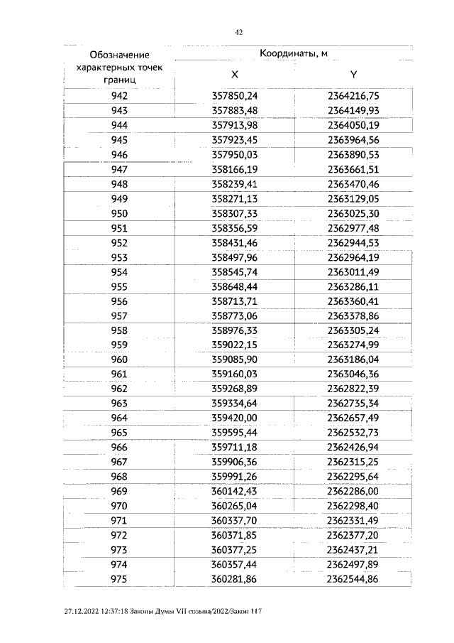
Закон Курганской области от 30.12.2022 № 105
"Об установлении границ муниципального образования Притобольного муниципального округа Курганской области"
Номер опубликования: 4500202212300010
Дата опубликования: 30.12.2022
Страница №42 из 64:
Увеличить