Официальное опубликование правовых актов
ОФИЦИАЛЬНОЕ ОПУБЛИКОВАНИЕ
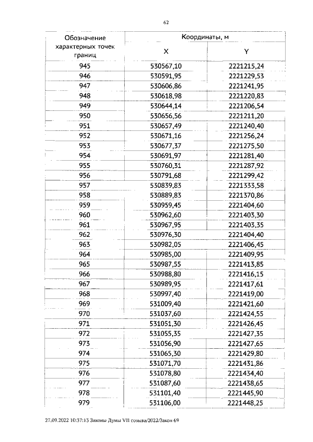
Закон Курганской области от 29.09.2022 № 61
"Об установлении границ муниципального образования Далматовского муниципального округа Курганской области"
Номер опубликования: 4500202209300002
Дата опубликования: 30.09.2022
Страница №62 из 71:
Увеличить