Закон Курганской области от 29.09.2022 № 64
"Об установлении границ муниципального образования Катайского муниципального округа Курганской области"
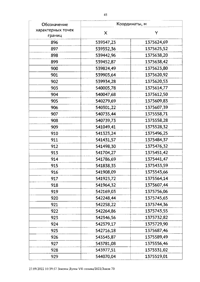
"Об установлении границ муниципального образования Катайского муниципального округа Курганской области"
Номер опубликования: 4500202209300001
Дата опубликования:
30.09.2022
