Официальное опубликование правовых актов
ОФИЦИАЛЬНОЕ ОПУБЛИКОВАНИЕ
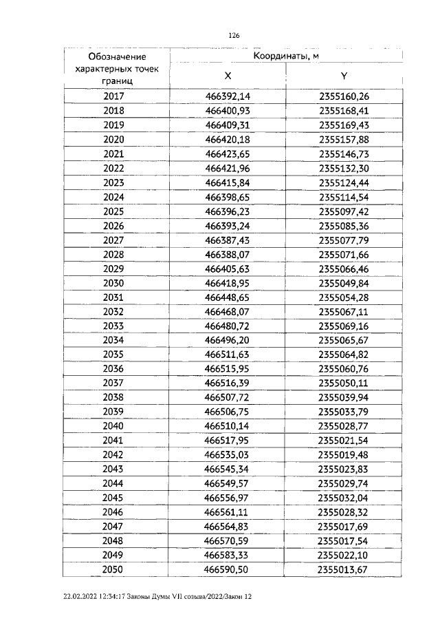
Закон Курганской области от 05.03.2022 № 3
"Об установлении границ муниципального образования Кетовского муниципального округа Курганской области"
Номер опубликования: 4500202203050018
Дата опубликования: 05.03.2022
Страница №126 из 130:
Увеличить