Официальное опубликование правовых актов
ОФИЦИАЛЬНОЕ ОПУБЛИКОВАНИЕ
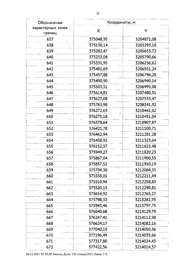
Закон Курганской области от 29.12.2021 № 175
"Об установлении границ муниципального образования Половинского муниципального округа Курганской области"
Номер опубликования: 4500202112300027
Дата опубликования: 30.12.2021
Страница №33 из 37:
Увеличить