Официальное опубликование правовых актов
ОФИЦИАЛЬНОЕ ОПУБЛИКОВАНИЕ
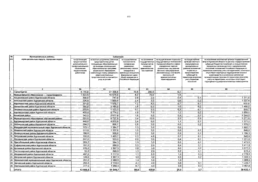
Закон Курганской области от 29.12.2021 № 164
"О внесении изменений в Закон Курганской области "Об областном бюджете на 2021 год и на плановый период 2022 и 2023 годов"
Номер опубликования: 4500202112300021
Дата опубликования: 30.12.2021
Страница №573 из 591:
Увеличить