Официальное опубликование правовых актов
ОФИЦИАЛЬНОЕ ОПУБЛИКОВАНИЕ
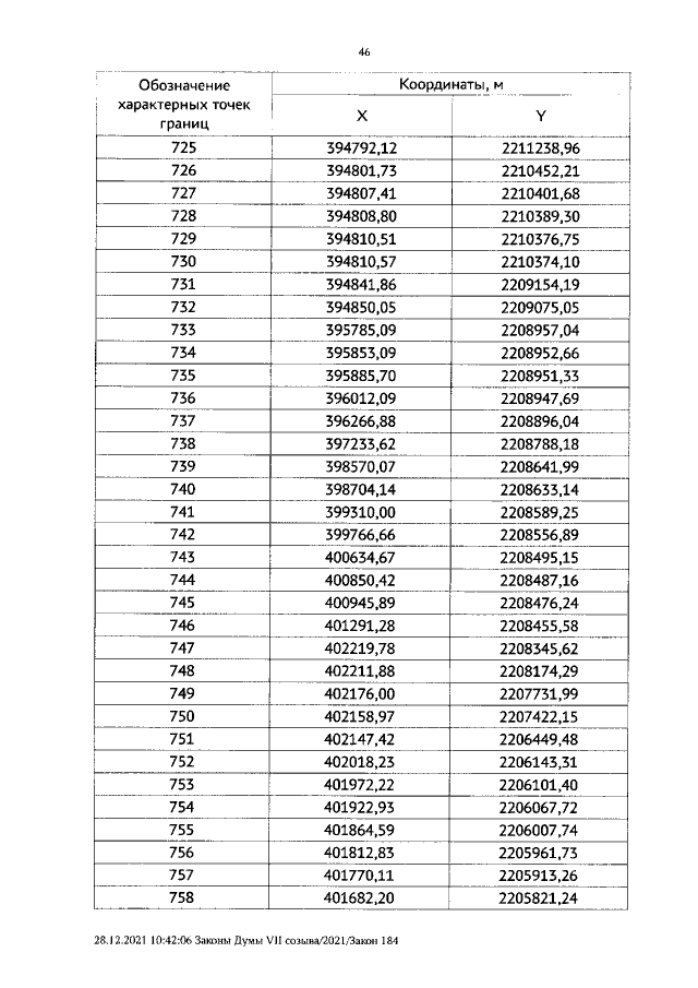
Закон Курганской области от 29.12.2021 № 179
"Об установлении границ муниципального образования Щучанского муниципального округа Курганской области"
Номер опубликования: 4500202112300020
Дата опубликования: 30.12.2021
Страница №46 из 57:
Увеличить