Официальное опубликование правовых актов
ОФИЦИАЛЬНОЕ ОПУБЛИКОВАНИЕ
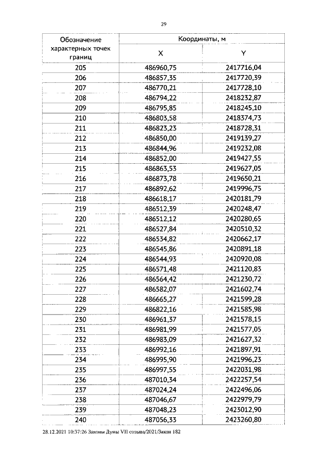
Закон Курганской области от 29.12.2021 № 173
"Об установлении границ муниципального образования Белозерского муниципального округа Курганской области"
Номер опубликования: 4500202112300015
Дата опубликования: 30.12.2021
Страница №29 из 48:
Увеличить