Официальное опубликование правовых актов
ОФИЦИАЛЬНОЕ ОПУБЛИКОВАНИЕ
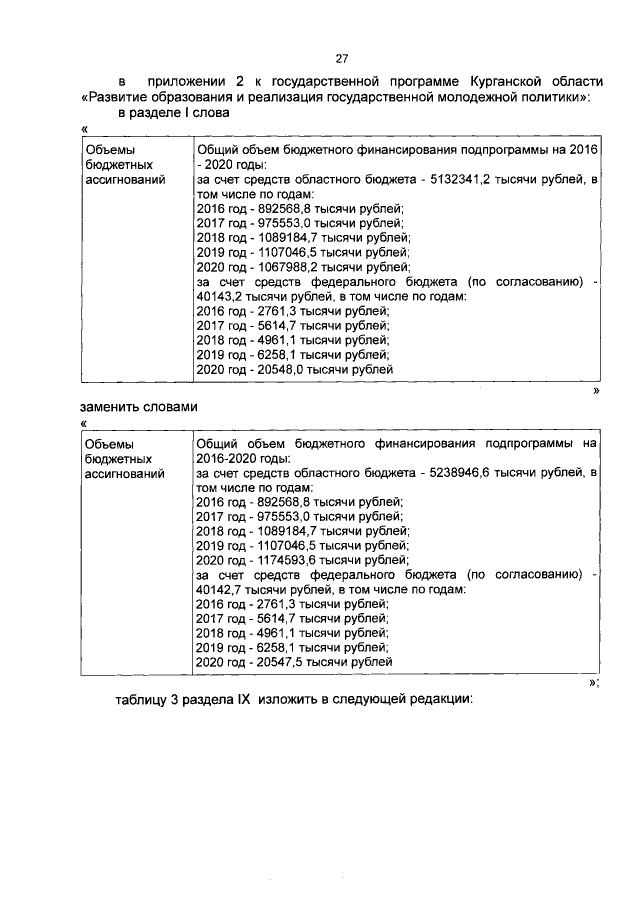
Постановление Правительства Курганской области от 11.11.2021 № 341
"О внесении изменений в постановление Правительства Курганской области от 21 января 2016 года № 9"
Номер опубликования: 4500202111120017
Дата опубликования: 12.11.2021
Страница №27 из 67:
Увеличить