Официальное опубликование правовых актов
ОФИЦИАЛЬНОЕ ОПУБЛИКОВАНИЕ
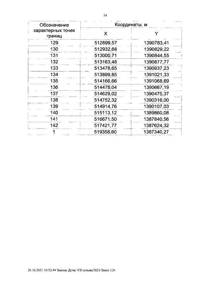
Закон Курганской области от 03.11.2021 № 133
"Об установлении границ муниципального образования Верхнепесковского сельсовета Катайского района Курганской области"
Номер опубликования: 4500202111110012
Дата опубликования: 11.11.2021
Страница №14 из 14:
Увеличить