Официальное опубликование правовых актов
ОФИЦИАЛЬНОЕ ОПУБЛИКОВАНИЕ
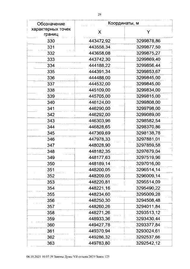
Закон Курганской области от 08.10.2021 № 115
"Об установлении границ муниципального образования Мокроусовского муниципального округа Курганской области"
Номер опубликования: 4500202110080010
Дата опубликования: 08.10.2021
Страница №29 из 38:
Увеличить