Официальное опубликование правовых актов
ОФИЦИАЛЬНОЕ ОПУБЛИКОВАНИЕ
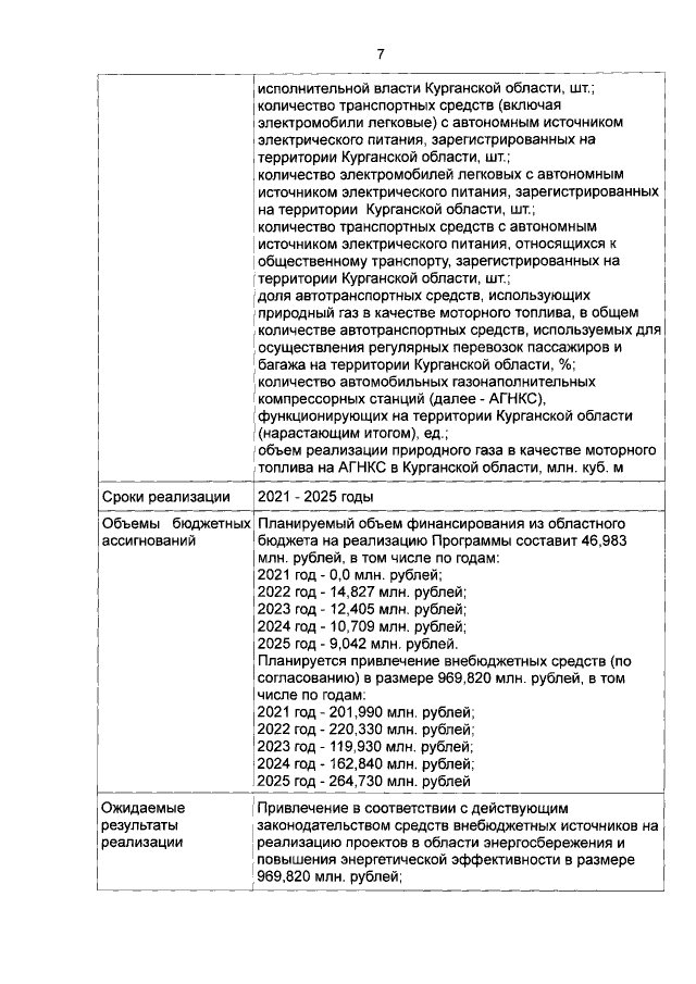
Постановление Правительства Курганской области от 30.09.2021 № 291
"О государственной программе Курганской области "Энергосбережение и повышение энергетической эффективности в Курганской области"
Номер опубликования: 4500202109300004
Дата опубликования: 30.09.2021
Страница №7 из 67:
Увеличить