Официальное опубликование правовых актов
ОФИЦИАЛЬНОЕ ОПУБЛИКОВАНИЕ
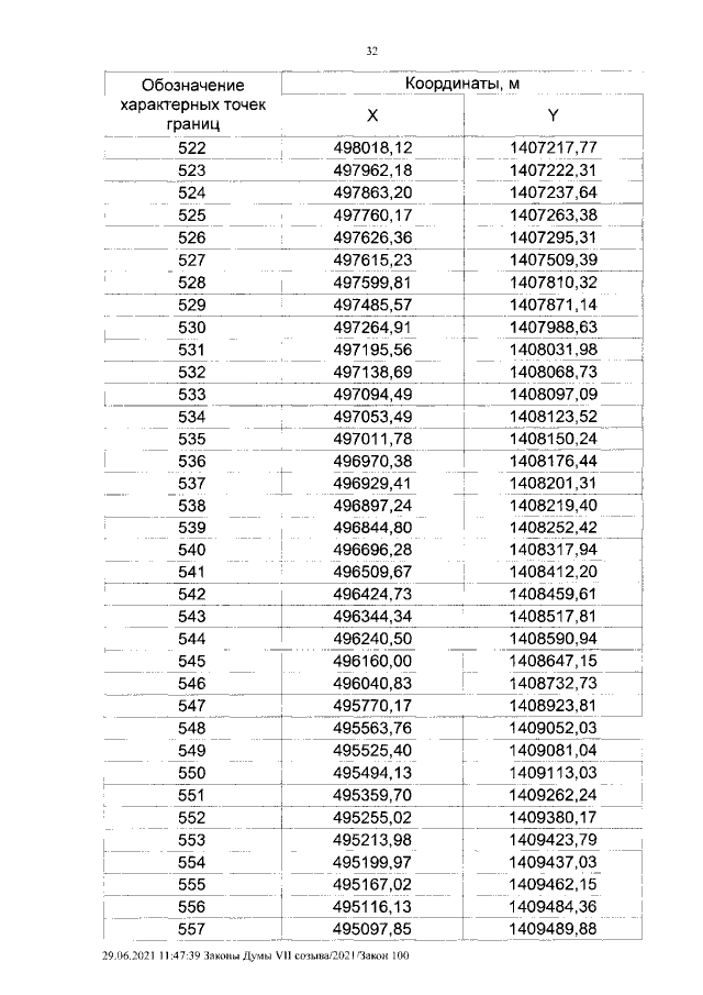
Закон Курганской области от 30.06.2021 № 103
"О внесении изменений в Закон Курганской области "Об установлении границ муниципального образования Катайского района Курганской области"
Номер опубликования: 4500202107020016
Дата опубликования: 02.07.2021
Страница №32 из 46:
Увеличить