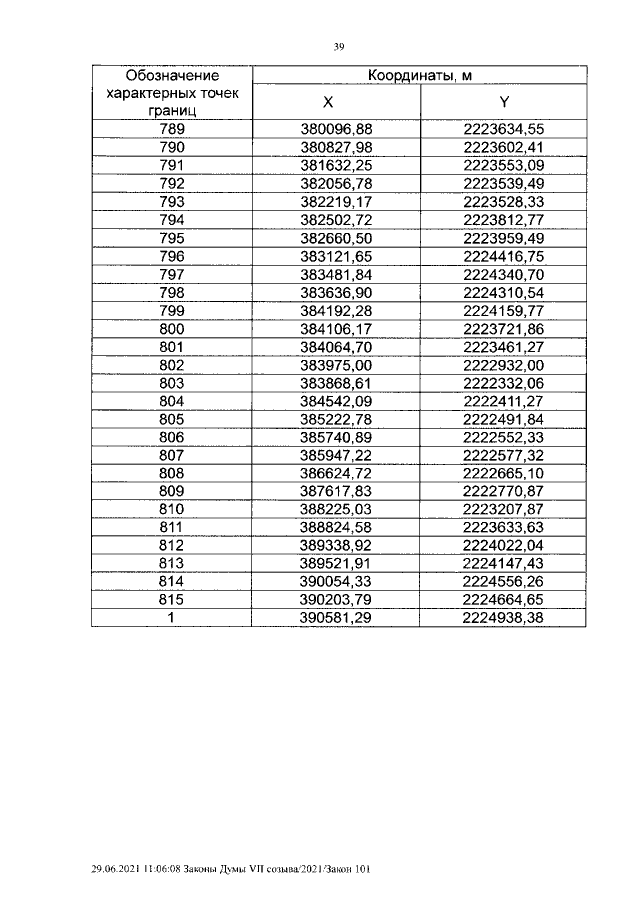
Закон Курганской области от 29.06.2021 № 74
"Об установлении границ муниципального образования Альменевского муниципального округа Курганской области"
"Об установлении границ муниципального образования Альменевского муниципального округа Курганской области"
Номер опубликования: 4500202106290004
Дата опубликования:
29.06.2021
