Официальное опубликование правовых актов
ОФИЦИАЛЬНОЕ ОПУБЛИКОВАНИЕ
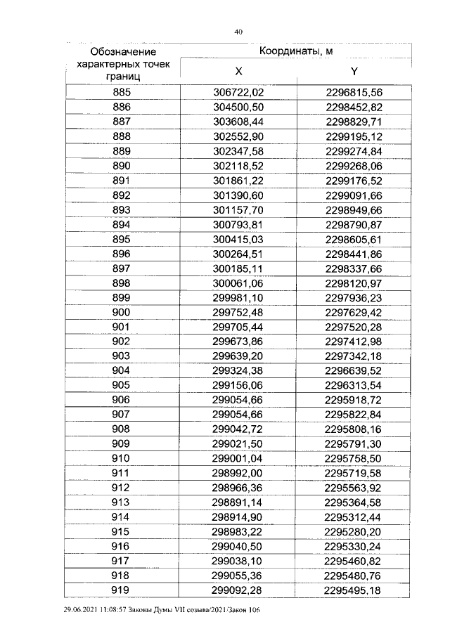
Закон Курганской области от 29.06.2021 № 75
"Об установлении границ муниципального образования Целинного муниципального округа Курганской области"
Номер опубликования: 4500202106290002
Дата опубликования: 29.06.2021
Страница №40 из 71:
Увеличить