Официальное опубликование правовых актов
ОФИЦИАЛЬНОЕ ОПУБЛИКОВАНИЕ
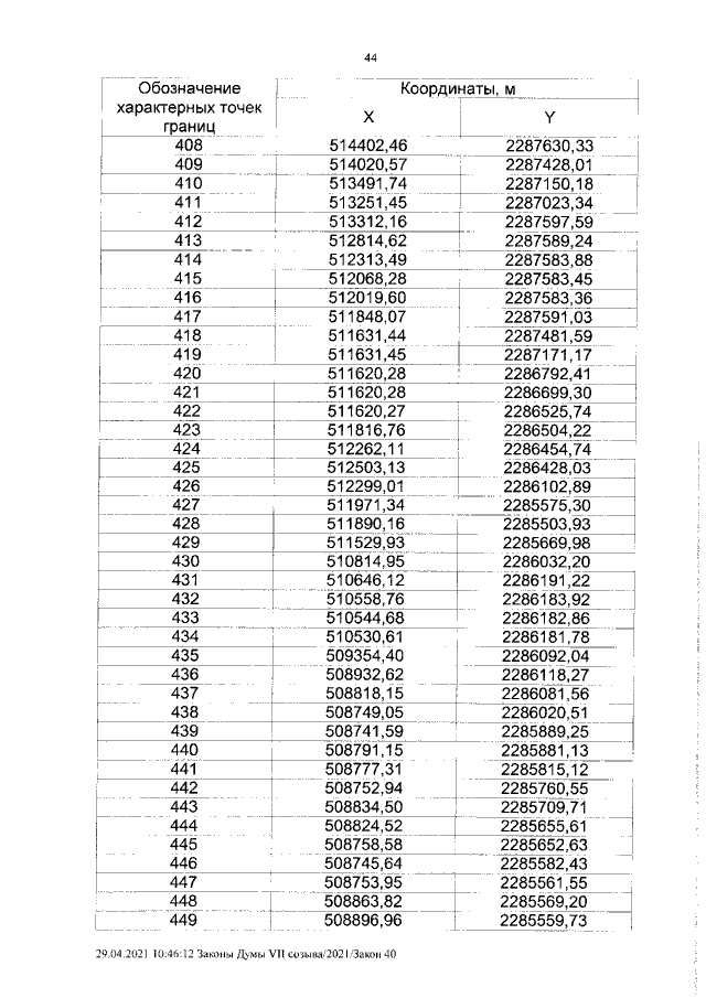
Закон Курганской области от 12.05.2021 № 59
"Об установлении границ муниципального образования города Шадринска Курганской области"
Номер опубликования: 4500202105140003
Дата опубликования: 14.05.2021
Страница №44 из 53:
Увеличить