Официальное опубликование правовых актов
ОФИЦИАЛЬНОЕ ОПУБЛИКОВАНИЕ
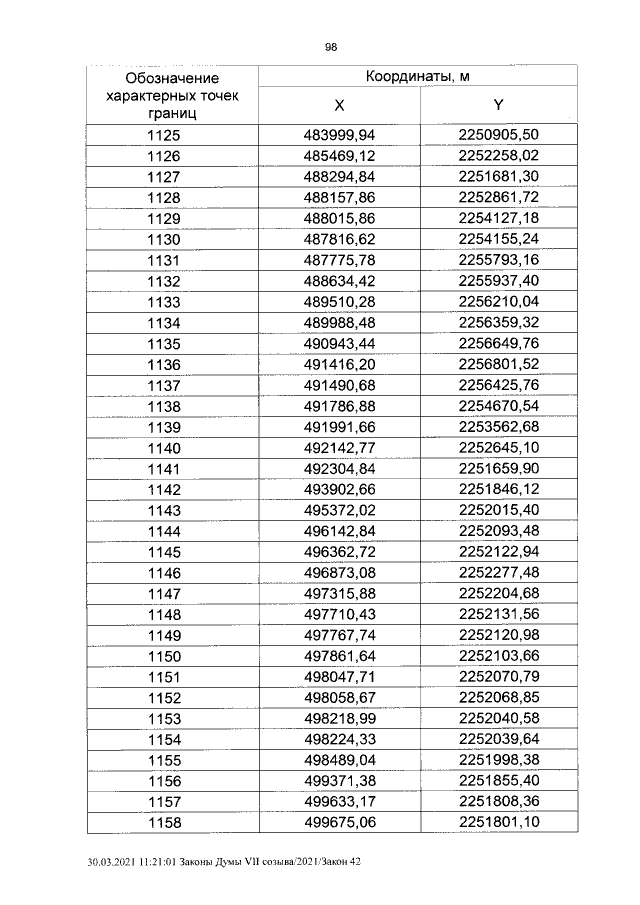
Закон Курганской области от 02.04.2021 № 40
"О внесении изменений в Закон Курганской области "Об установлении границ муниципального образования Шадринского района Курганской области"
Номер опубликования: 4500202104020009
Дата опубликования: 02.04.2021
Страница №98 из 130:
Увеличить