Официальное опубликование правовых актов
ОФИЦИАЛЬНОЕ ОПУБЛИКОВАНИЕ
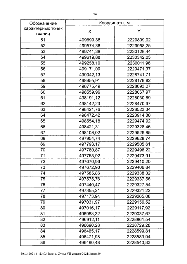
Закон Курганской области от 02.04.2021 № 39
"О внесении изменений в Закон Курганской области "Об установлении границ муниципального образования Песчано-Колединского сельсовета Далматовского района Курганской области"
Номер опубликования: 4500202104020008
Дата опубликования: 02.04.2021
Страница №14 из 21:
Увеличить