Официальное опубликование правовых актов
ОФИЦИАЛЬНОЕ ОПУБЛИКОВАНИЕ
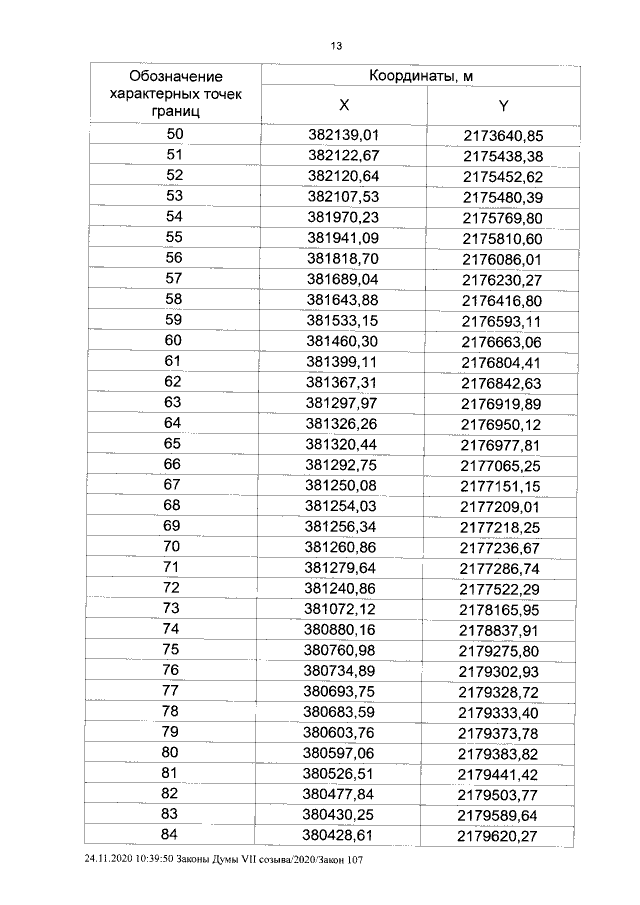
Закон Курганской области от 30.11.2020 № 114
"О внесении изменений в Закон Курганской области "Об установлении границ муниципального образования Камышинского сельсовета Сафакулевского района Курганской области"
Номер опубликования: 4500202012010009
Дата опубликования: 01.12.2020
Страница №13 из 20:
Увеличить