Официальное опубликование правовых актов
ОФИЦИАЛЬНОЕ ОПУБЛИКОВАНИЕ
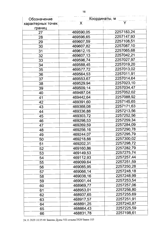
Закон Курганской области от 30.11.2020 № 113
"Об установлении границ муниципального образования Песчанотаволжанского сельсовета Шадринского района Курганской области"
Номер опубликования: 4500202012010007
Дата опубликования: 01.12.2020
Страница №16 из 23:
Увеличить