Официальное опубликование правовых актов
ОФИЦИАЛЬНОЕ ОПУБЛИКОВАНИЕ
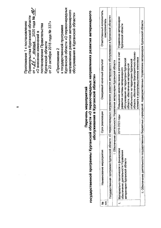
Постановление Правительства Курганской области от 26.06.2020 № 198
"О внесении изменений в постановление Правительства Курганской области от 23 октября 2018 года № 337"
Номер опубликования: 4500202006290002
Дата опубликования: 29.06.2020
Страница №8 из 19:
Увеличить