Официальное опубликование правовых актов
ОФИЦИАЛЬНОЕ ОПУБЛИКОВАНИЕ
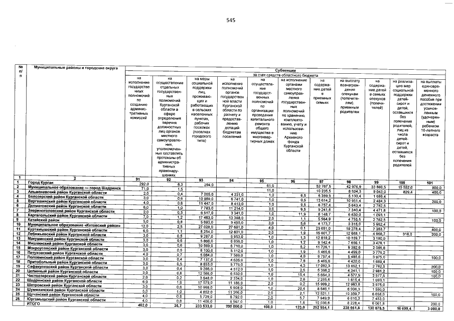
Закон Курганской области от 30.04.2020 № 32
"О внесении изменений в Закон Курганской области "Об областном бюджете на 2020 год и на плановый период 2021 и 2022 годов"
Номер опубликования: 4500202005060009
Дата опубликования: 06.05.2020
Страница №545 из 565:
Увеличить