Официальное опубликование правовых актов
ОФИЦИАЛЬНОЕ ОПУБЛИКОВАНИЕ
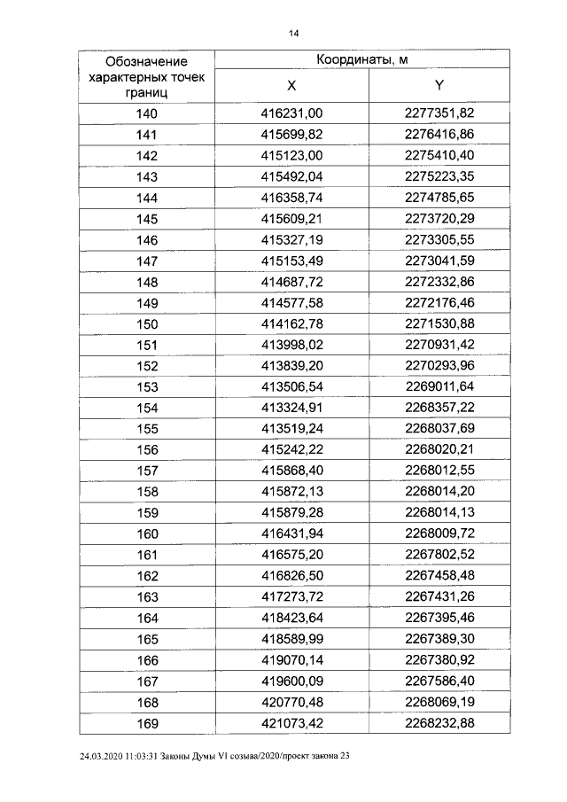
Закон Курганской области от 25.03.2020 № 24
"Об установлении границ муниципального образования Рождественского сельсовета Мишкинского района Курганской области"
Номер опубликования: 4500202003270004
Дата опубликования: 27.03.2020
Страница №14 из 15:
Увеличить