Официальное опубликование правовых актов
ОФИЦИАЛЬНОЕ ОПУБЛИКОВАНИЕ
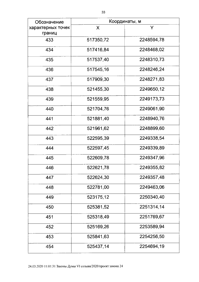
Закон Курганской области от 25.03.2020 № 23
"Об установлении границ муниципального образования Сухринского сельсовета Шадринского района Курганской области"
Номер опубликования: 4500202003270001
Дата опубликования: 27.03.2020
Страница №33 из 34:
Увеличить