Официальное опубликование правовых актов
ОФИЦИАЛЬНОЕ ОПУБЛИКОВАНИЕ
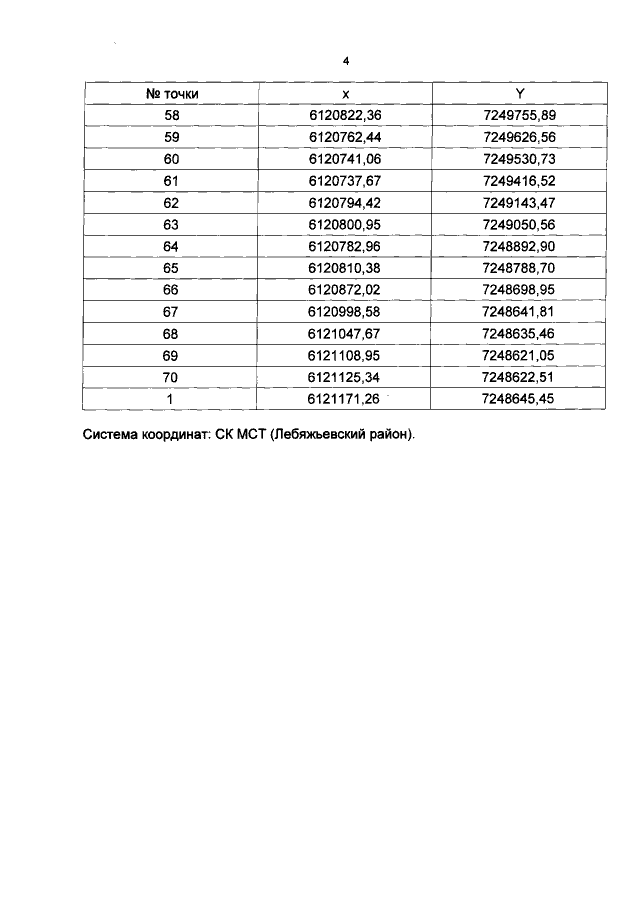
Постановление Губернатора Курганской области от 19.03.2020 № 13
"О создании охранной зоны памятника природы регионального значения "Озеро Светленькое"
Номер опубликования: 4500202003240002
Дата опубликования: 24.03.2020
Страница №4 из 6:
Увеличить