Официальное опубликование правовых актов
ОФИЦИАЛЬНОЕ ОПУБЛИКОВАНИЕ
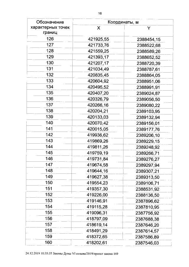
Закон Курганской области от 30.12.2019 № 182
"Об установлении границ муниципального образования Лесниковского сельсовета Кетовского района Курганской области"
Номер опубликования: 4500201912310022
Дата опубликования: 31.12.2019
Страница №16 из 23:
Увеличить