Официальное опубликование правовых актов
ОФИЦИАЛЬНОЕ ОПУБЛИКОВАНИЕ
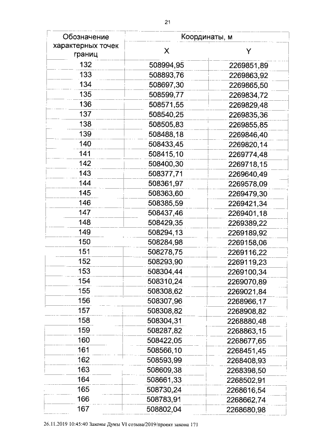
Закон Курганской области от 27.11.2019 № 166
"Об установлении границ муниципального образования Мыльниковского сельсовета Шадринского района Курганской области"
Номер опубликования: 4500201911290008
Дата опубликования: 29.11.2019
Страница №21 из 28:
Увеличить