Официальное опубликование правовых актов
ОФИЦИАЛЬНОЕ ОПУБЛИКОВАНИЕ
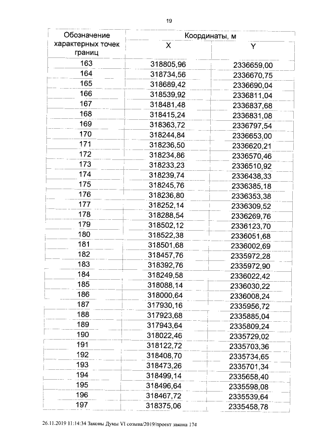
Закон Курганской области от 27.11.2019 № 164
"Об установлении границ муниципального образования Озернинского сельсовета Звериноголовского района Курганской области"
Номер опубликования: 4500201911290007
Дата опубликования: 29.11.2019
Страница №19 из 23:
Увеличить